Compare Them: A Calculus Approach
A Remastered Version
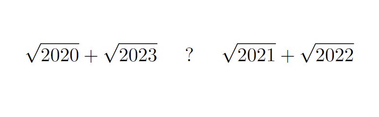
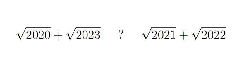
Today’s Challenge
Following yesterday’s solution to the above problem, I discovered another approach based on calculus.
Give it another go and see if you can think of a better, more elegant solution!
Read on to find out more!
Keep reading with a 7-day free trial
Subscribe to Mathematical Donuts 🍩 to keep reading this post and get 7 days of free access to the full post archives.


